
이온결합
모든 화학결합은 반대 전하를 가진 입자들 간의 인력에 의한 것이다. 가장 간단한 예가 이온결합인데, 반대 전하의 이온 사이에 정전기적인 인력이 작용한다.
이 성분 이온화합물은 금속과 비금속 간에 형성되는 화합물로, 두 원소의 금속성이 차이가 클수록 화합물은 이온성을 갖기 쉬워진다. 이온화합물은 주기율표에서 멀리 떨어져 있는 원소들이 결합된 것이다: 왼쪽에 위치한 금속과 오른쪽에 위치한 비금속. 이온화합물을 좀 더 이해하기 위해, 다음 질문에 대해 답해보자.
- 금속원소는 양이온을 형성하고, 비금속원소는 음이온을 형성한다. 왜?
- 이온 간의 인력에너지가 이온형성에 필요한 에너지를 어떻게 보상하는가?
- 이온반경은 음이온과 양이온 간의 결합세기에 어떤 영향을 미치는가?
양이온의 형성
이온화에너지와 전자친화도에서, 이온 형성 시 에너지변화가 생긴다는 것을 배웠다. 두 에너지변화는 주기적 경향을 가지면, 주기적 변화는 금속과 비금속의 주기율표에서의 위치와 관련된다. 이를 이용하여 금속은 양이온을, 비금속은 음이온을 형성하는 이유를 설명할 수 있다.
이온화에너지를 가했을 때, 몇몇 금속들은 1+가의 양이온을, 몇몇 금속들은 더 높은 전하의 양이온을 형성한다. 전자를 제거했을 때, np6 배열이 깨지는 경우에는, 이온화에너지가 크게 증가한다. 양이온이 어떤 전하를 갖는 지는 이온화에너지의 증가를 보면 된다.
주기율표의 s- 또는 p-블록에 있는 금속의 양이온은 일반적으로 np6의 배열을 갖는다. 그러나 전이금속은 하나 이상의 안정한 양이온을 형성하는데, 전이금속은 부분적으로 채워진 d 부껍질을 갖고 있으나, 이온이 될 때는 s 부껍질의 전자를 잃는다. 예로, 철(Fe)은 Fe2+ 를 형성하는데, 중성원자는 전자배열은 1s22s22p63s23p64s23d6이며, 이온은 1s22s22p63s23p63d6이다. d 오비탈의 전자를 추가로 잃고 Fe3+가 되면 반만 채워진 d 부껍질을 갖게 된다. 반만 채워진 부껍질은 꽤 안정된 배열이기 때문에, Fe2+와 Fe3+ 이온은 둘 다 안정하다.
음이온의 형성
전자친화도의 주기적 경향은 이온화에너지와 비슷하다. 전자친화도는 기체상태의 중성의 원자가 음이온을 형성할 때의 에너지변화이다.
X(g) + e- → X-(g)
이것은 흔히 에너지적으로 유리한 과정으로, 음이온이 형성되면 에너지가 방출된다. 원자가 전자를 얻을 때 방출되는 에너지는 주기율표의 오른쪽으로 갈수록 증가한다. 전자를 쉽게 얻는 이들 원자가, np6의 안정된 전자배열을 갖는 양이온을 만들기 위해서는 많은 수의 전자를 잃어야 한다. 따라서 비금속은 양이온보다는 음이온을 형성한다.
모든 비금속은 주족에 속하고, 전자가 일부만 차있는 d 부껍질이 없기 때문에 전이금속처럼 복잡하지 않다. 비금속도 주족의 금속처럼 p부껍질이 꽉 찬 전자배열을 가지려는 경향이 있다. 둘의 차이점이라면 비금속은 전자를 잃기보다는 받아들인다. 모든 할로젠은 1-가의 음이온을 형성하며 np6의 전자배열을 갖는다. 산소와 황은 2-가의 음이온을 형성하며 np6의 전자배열을 갖는다.
이온의 크기도 이온결합의 세기에 영향을 준다. 원자반경은 족의 아래쪽으로 갈수록 커지며, 주기의 오른쪽으로 갈수록 작아진다. 양이온과 음이온의 반경에서는 어떤 경향이 나타날까? 양이온은 전자를 잃었기 때문에, 전자 간 척력이 감소하여 전자들이 핵과 밀접해진다. 그래서 양이온은 중성의 원자보다 더 작아질 것이다. 반면, 전자를 얻어 형성된 음이온은 원자가전자 간의 척력이 증가하여 중성의 원자보다 더 커질 것이다. 결정격자 내 간격을 측정하여 이온 반경은 결정했을 때, 앞의 예측과 일치한다. Na+은 원자반경이 102 pm로, 원자반경이 190 pm인 Na 원자보다 매우 작다. F-는 133 pm로 42pm의 F보다 매우 크다.
원자와 이온의 반경을 나타낸 것으로 경향이 뚜렷하다. 원자 크기와 마찬가지로 이온 크기는 족의 아래쪽으로 갈수록 증가한다. 양이온의 경우, 같은 주기에서의 이온크기는 중성의 원자에서 관찰된 경향과 비슷하다.
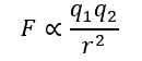
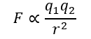
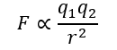
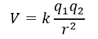
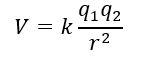
중성의 금속원자와 중성의 비금속원자가 반응하여 이온 쌍을 형성하기 위해서는 에너지가 필요하다. 금속이 양이온으로 될 때 유입된 에너지는, 비금속이 음이온으로 될 때 방출되는 에너지로는 보완되지 않는다. 그러나 일단 결합이 이루어지면 반대 전하의 이온들은 서로를 끌어당기고, 결국 총에너지는 낮아진다. 두 전하 간의 힘은 두 전하량의 곱을 거리의 제곱으로 나눈 값에 비례한다(쿨롱법칙).

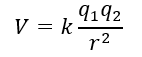
F는 힘이고, q1, q2는 전하량, r은 거리(두 이온의 핵 사이의 거리)이다. 퍼텐셜에너지 V는

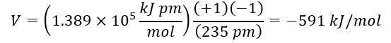
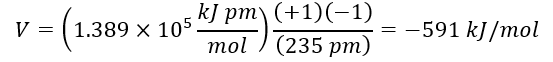
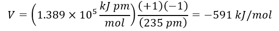
k는 비례상수로, 1.389x105 kJ pm/mol이다.
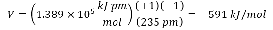
나트륨(Na)과 플루오린(F)의 독립된 원자들로부터 NaF 이온쌍이 형성되는데, 이때 관측된 에너지변화를 보자. Na의 이온화에너지는 496 kJ/mol이고, F의 전자친화도는 -328 kJ/mol이다. 두 숫자를 결합하였을 때, 이온들은 168 kJ/mol(496 – 328 = 168)의 에너지를 필요로 한다. 그리고 퍼텐셜에너지 식을 사용하여 두 이온 간의 쿨롱인력에 의해 방출되는 에너지를 결정한다.
Na+와 F-의 반경은 각각 102 pm와 133 pm이기 때문에 두 이온의 거리는 235 pm이다. 이 사이의 인력은 다음과 같다.

(-)부호는 에너지가 방출됨을 뜻한다. 쿨롱에너지가 두 이온을 형성하는데 필요한 에너지보다 크기 때문에, 전체 반응은 에너지를 방출한다.
하지만 위의 계산은 현실성이 없다. 먼저, 위에서는 나트륨과 플루오린이 독립된 원자라 가정하고 계산을 시작했다. 합리적인 조건에서 나트륨은 금속의 고체이며, 플루오린은 이원자 기체일 것이다. 독립된 원자로 만들기 위해서는 에너지가 필요하다. 그리고 계산된 쿨롱에너지는 이온격자이다. 이온격자에서는 반대 전하를 가진 이온들은 서로 끌어당기는데, 동시에 같은 전하의 이온들은 서로 밀어낸다. 이온 간의 거리가 멀어지면, 인력과 척력은 모두 약해진다.
결정 내 격자에너지는 인력과 척력의 결과물이다. NaF 구조에서, 나트륨 이온의 여섯 게의 플루오린 이온으로 둘러싸여 있으며, 플루오린은 여섯 대의 나트륨 이온으로 둘러싸인다. 격자에서 정확한 쿨롱에너지를 결정하기 위해서는, 이웃 이온들과의 인력을 고려해야 한다. 나트륨 금속과 이원자의 플루오린 기체가 반응하여 불화나트륨을 생성하는 반응에서 방출된 실제 에너지는 577 kJ/mol이다. 큰 전하의 크기가 작은 이온일수록 이온화합물을 형성했을 때 격자에너지가 크고, 작은 전하의 큰 이온일수록 격자에너지가 작음을 알 수 있다.
공유결합
이온화합물에서는 이온화에너지, 전자친화도, 쿨롱인력을 고려한다. 반면, 중합체는 공유결합으로 이우어지는데, 공유결합은 어떤 결합인가? 공유결합(covalent bond)은 두 원자가 전자 한 쌍을 공유할 때 이뤄진다. 어떻게 공유결합이 생기는지 알아보자.
화학결합과 에너지
비금속원소 사이에 화학결합이 형성될 때는, 원자가전자는 이동하지 않고 공유된다. 이온에서처럼, 공유결합에서도 원소가 결합한 후에 총에너지가 낮아진다. 공유결합의 경우 두 원자가 접근할 때 퍼텐셜에너지가 변한다. 원자가 충분히 멀리 떨어져 있을 경우, 서로에게 그다지 영향을 끼치지 않는다. 그러나 원자들이 서로 가까워지면, 원자 안의 전자들이 상대방 원자의 핵에 끌리게 된다. 결과적으로, 또 다른 인력에 의해 퍼텐셜에너지는 낮아진다. 물론, 전자가 결합하는 과정에서 두 핵은 서로 밀어내기 때문에, 핵이 가까워지는 일은 없다. 인력과 척력이 균형을 이루는 군간 에너지는 최소화되며, 에너지가 최소가 되는 점에서 공유결합이 형성된다. 개별 원자들이 공유결합을 형성할 때 방출하는 에너지를 결합에너지(bond energy)라 하며, 결합된 원자들의 핵 사이의 거리를 결합거리(bond length)라 한다.
두 원자가 전자들을 공유할 때, 전자분포는 독립된 원자와는 다르다, 분자의 전자밀도는 개별 원자에서 볼 수 있는 구형의 대칭분포와는 다르다. 공유결합분자에서는, 두 원자의 결합 사이에 전자밀도가 증강된 구역이 있다. 이 구역에서 음전하가 조금이라도 증가하면 퍼텐셜에너지는 낮아지고 분자는 안정화된다.
화학결합이 형성되면 언제나 에너지가 방출된다. 결합을 깨는데 필요한 에너지는 결합에너지의 양과 동일하다. 결합에너지는 결합을 이루는 원자마다 다르다. 예로, 플루오린 원자 2 mol이 결합하여 플루오린 분자 1 mol이 만들어지는데, 이때 156 kJ의 에너지가 방출된다. 그래서 F-F 결합에너지는 156 kJ/mol이다. 다른 분자들에 비해 F2는 약한 공유결합을 하는데, HF의 결합에너지는 565 kJ/mol로 세 배는 강한 결합이다. HF 결합을 깨기 위해서는 더 많은 에너지가 필요하기 때문에, HF 결합은 F2 결합보다 안정적이라고 말한다. 화합물의 안정성을 판단하고자 한다면, 결합의 여러 형태를 알아볼 필요가 있다.
화학결합이 형성되면 언제나 에너지가 방출된다. 결합을 깨는데 필요한 에너지는 결합에너지의 양과 동일하다. 결합에너지는 결합을 이루는 원자마다 다르다. 예로, 플루오린 원자 2 mol이 결합하여 플루오린 분자 1 mol이 만들어지는데, 이 때 156 kJ의 에너지가 방출된다. 그래서 F-F 결합에너지는 156 kJ/mol이다. 다른 분자들에 비해 F2는 약한 공유결합을 하는데, HF의 결합에너지는 565 kJ/mol로 세 배는 강한 결합이다. HF 결합을 깨기 위해서는 더 많은 에너지가 필요하기 때문에, HF 결합은 F 결합보다 안정적이라고 말한다. 화합물의 안정성을 판단하고자 한다면, 결합의 여러 형태를 알아볼 필요가 있다.
화학결과 반응
화학반응이 일어나면 결합이 재배열되고, 반응물은 생성물로 바뀐다. 결합을 깨는데 필요한 에너지가 새로운 결합을 만들 때 방출되는 에너지보다 작으면, 반응은 에너지적으로 유리해진다. 수술 후 복부력을 보강하는데 세포조직을 대신하여 Teflon망이 사용된다. 테플론은 polytetrafluoroethylene의 상품명으로, 화학반응에 강하다.
PTFE은 풀루오르화탄소로, 탄화수소의 수소 원자가 모두 플루오린으로 대체된 것이다. 테플론(-CF2-CF2-)이 연소하면 CO2와 OF2가 생성된다. C-F결합은 C-H 결합보다 좀 더 강하며 끊어지기 어렵다. O-F의 결합에너지는 O-H에 비해 아주 작다. 플루오르화탄소가 연소한다는 것은, 강한 C-F 결합이 약한 O-F 결합으로 대체된다는 것으로, 에너지적으로 유리하지 않으며, 이런 이유로 플루오린 화합물은 연소되지 않는다. 결합에너지로 테플론의 비반응성을 설명할 수 있다.
화학결합과 분자구조
금속과 비슴속이 이온결합을 하면, 각각의 양이온가 음이온은 np6의 전자배열을 갖는데, 이는 비활성기체의 전자배열과 유사하다. 이온결합을 이룬 비금속원자는 금속원자로부터 전자를 얹어 비활성기체의 전자배열을 갖는다. 또한 비금속은 다른 비금속과도 상호작용하여 전자를 공유할 수 있으며, 원자는 공유된 전자에 효과적으로 접근할 수 있다. 이때 비금속원자 간에 전자를 공유함으로써 비활성기체의 전자배열을 갖는다. 주족의 원소로 구성된 대부분의 분자는, 원자주위에 8개의 원자가전자를 갖는다. 이를 옥텟 규칙(octer rile: 8전자 규칙)이라 한다: 원자는 공유결합을 통해 8개의 원자가전자를 완성한다. 비활성기체 원소는 원자가껍질에 ns2np6의 전자배열을 갖는다. 단 수소는 옥텟 규칙의 예외인데, n=1인 원자가껍질에는 p 오비탈이 없기 때문에 두 개의 전자만을 공유한다.
루이스 점기호(Lewis dot symbol)를 사용하며 옥텟 규칙을 그림으로 나타낼 수 있다. 루이스 기호는 20세기 초 미국의 화학자인 G.N.Lewis에 의해 창안되었다. 루이스 기호는 원자가전자를 나타낼 수 있기 때문에, 분자결합을 예측하는데 도움을 준다. 주족의 원소로 이루어진 화합물에 특히 유용한데, 원소 기호 주위에 하나씩 그리는데, 다섯 번째 점부터는 쌍을 이루어 나타낸다.
루이스 점기호로 분자를 그릴 때는, 두 원자의 기호 사이에 선을 그려 원자간 결합을 나타낸다. 전자수를 셀 때, 한 개의 선은 공유된 전자 한 쌍과 같다. 아래 그림은 H와 H2의 루이스 구조이다.

루이스 구조(Lewis structure)는 분자에서 전자들이 어떻게 공유되는지를 보여준다. F2의 루이스 구조를 아래 그림에 나타내었다. 플루오린은 공유결합물질로, 결합전자쌍(bonding pair)이라 하며, 원자의 다른 전자쌍을 비결합전자쌍(nonbonding electron) 또는 고립전자쌍(lone pair, 비공유전자쌍)이라 한다. 플루오린 분자는 한 개의 결합전자쌍과 여섯 개의 고립전자쌍을 갖는다.

물론, 대부분의 분자들은 H2 또는 F2보다 복잡하고, 한 쌍 이상의 공유전자를 갖는다. 예로, 두 개의 산소 원자가 전자 한 쌍만을 공유하면 사소 원자는 8개의 원자가전자를 갖지 못하지만, 전자 두 쌍을 공유하면 옥텟 규칙을 따르게 된다. 이원자 질소의 경우, 옥텟 규칙을 만족하기 위해 전자 세 쌍을 공유해야 한다. 전자 한 쌍 이상이 공유되었을 때 다중결합이 만들어진다: 전자 두 쌍은 이중결합(double bond), 세 쌍은 삼중결합(triple bond)을 만든다. 이중결합은 단일결합보다 강한데, 그렇다고 두 배로 강한 것은 아니다. 탄소-탄소의 결합에너지가 좋은 예이다.
Methyl methacrylate가 중합하며 PMMA가 되는 반응을 예로 들어보자. Methyl methacrylate 단위체(CH2=C(CH3)-COOCH3)는 탄소=탄소 이중결합을 갖는데, 중합반응을 통해 이중결합을 이루던 전자 두 개가 다른 단위체와의 결합에 사용된다. 그 결과 반응물의 이중결합은 생성물의 단일결합 두 개로 바뀐다. 두 개의 단일결합을 형성할 때 방출된 에너지는 한 개의 이중결합을 깨는데 필요한 에너지보다 크기 때문에, PMMA의 중합반응은 에너지적으로 유리하다. 이 때문에, C=C 작용기에서는 일반적으로 첨가반응이 일어난다. 삼중결합에서도 첨가반응이 일어나는데, 일반적이진 않다.
'환경화학' 카테고리의 다른 글
| 분자와 물질 (0) | 2024.08.08 |
|---|---|
| 화학결합과 분자구조 2 (1) | 2024.08.07 |
| 주기율표와 원자구조 2 (0) | 2024.08.05 |
| 주기율표와 원자구조 (0) | 2024.08.04 |
| 기체 (0) | 2024.07.31 |