
화학평형
정반응과 역반응
테이블 위에 물 한 컵이 있다. 밤새 방치하면 물은 증발하여 양이 줄어든다. 컵의 입구를 막고 같은 실험을 반복하면 물은 컵 안에 그대로 남는다. 닫힌계(입구를 막은 컵)에서는, 물과 수증기 사이에 동적평형(dynamic equilibrium)이 이루어진다. 평형상태에서는, 물 분자가 액체표면을 떠나는 속도와 액체표면으로 되돌아가는 속도가 같다. 증발속도는 액체분자의 에너지 분포로 결정된다. 충분한 운동에너지를 가진 분자들은 액체의 분자 간 인력을 극복하고 증기상으로 탈출한다. 따라서 물의 온도가 일정하면, 증발속도는 일정할 것이다. 응결속도는 어떨까? 기체상의 분자들은 액체표면과 부딪힐 때마다 액체상으로 돌아가 기회를 갖는다. 기체분자가 액체표면과 부딪히는 속도는 기체분자수 또는 기체압에 비례한다. 처음에 액체만 존재한다면, 응결속도는 0이다. 하지만, 증발이 일어나면 잠시 후에 용기는 약간의 증기로 채워지고, 응결이 시작된다. 증발속도가 크면, 증기상의 압력이 증가할 것이며, 결국은 응결속도도 증가하게 된다. 마침내 두 속도는 같아지고, 액체양과 증기양에서 알짜변화는 없다.
평형상태에서도 증발과 응결은 멈추지 않고 진행되는데, 이것을 동적평형이라 한다. 두 경재과정의 속도는 서로 같으나, 0은 아니다. 미시적관점에서, 각각의 분자들은 액체에서 증기로, 다시 증기에서 액체로 계속 움직인다. 그러나 거시적 관점에서는, 액체와 증기의 관측양은 더 이상 변하지 않는다.
우리는 화학반응식을 쓸 때, 정반응으로 간주하여 표기한다. 역반응에서는, 생성물이라 불렸던 물질이 반응한다. 역반응이 어떤 경우는 영향력 있게, 어떤 경우는 미비하게 발생지만, 원칙적으로 모든 화학반응에서 발생한다. 즉 “증발”에서 설명한 것처럼, 닫힌계일 때 화학반응은 동적평형에 도달함을 의미한다. 밀폐용기에서의 액체와 증기의 평형은 증발속도와 응축속도에 지배된다. 증기가 전혀 없는 밀폐용기에 액체를 넣는다. 액체표면의 에너지가 높은 분자들은 기체상으로 움직일 수 있다. 일단 약간의 증기가 존재하면, 기체분자는 액체표면과 부딪쳐 다시 응축된다. 시간이 지날수록 응축속도는 증가하나, 증발속도는 일정하다. 결국 두 속도는 같아지고, 평형상태에서도 증발과 응축은 계속 일어난다.
두 반응물 간의 화학반응을 예로 들어보자. 화학반응속도는 반응물의 농도에 비례하기 때문에, 초기 역반응속도는 0이다. 처음 반응물들을 섞으면 처음에는 정반응속도가 역반응 속도보다 크다. 시간이 경과하면, 반응물 농도는 감소하고 생성물 농도는 증가하면서, 정반응은 느려지고 역반응은 빨라진다. 최종적으로 화학평형에 도달하면 두 속도는 같아지며, 반응물과 생성물의 관측농도는 일정해진다. 평형상태의 화학계에서 정반응속도와 역반응속도는 같다.
평형상수
석회암인 CaCO₃의 분해반응은 다음과 같다.
CaCO₃(s) → CaO(s) + CO₂(g)
시멘트 제조에서는 CaO가 중요하며, 환경문제에서는 CO₂가 중요하다. 이들 화합물의 양을 계산하기 위해서는 평형상태에 대한 수학적 모델이 필요하다.
평형상수식
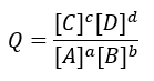
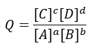
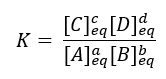
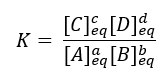
일반적인 화학반응에서
a A + b B ↔ c C + d D
반응물과 생성물의 농도비를 다음과 같이 정의할 수 있다.

이것은 반응지수(Q, reaction quotient)라 한다. 식의 분자에는 생성물 농도를, 분모에는 반응물 농도가 위치한다. 농도는 양론계수의 지수배로 증가한다. 평형상태에서 이 비는 평형상수식(equilibrium expression)이 되는데, 이 때의 Q를 평형상수(K, equilibrium constant)라 한다.

특정 반응에 대한 K값을 결정하기 위해서는, 반응물과 생성물의 평형상태에서의 농도를 측정해야 한다.
가스상에서의 평형
평형반응의 대부분은 가스상에서 발생한다. 몰농도가 아닌 부분압력을 사용하여 기체의 평형상수식을 표현할 수 있다. 이때의 평형상수는 Kp로 나타낸다.

기체의 몰농도를 기체의 부분압과 연관시켜 볼 필요가 있다. 이상기체법칙에서 기체의 부분압력을 기체의 몰농도 ni/V를 A 기체에 대해 표현하면
PA = nA/V RT = [A]RT

여기서 Kc는 몰농도로 표현된 평형상수를 뜻한다. (RT)(c+d-a-b) ≠ 1이면, Kp와 Kc는 같지 않다. 지수(c+d-a-b)이 0일 경우, 두 평형상수 Kp와 Kc는 같다.
균일평형과 불균일평형
지금까지 다뤘던 평형은 균일형평으로, 반응물과 생성물의 상이 같다. 그러나 반응물이나 생성물 중에 하나가 고체 또는 액체상일 때, 조금 수정된 평형상수 식을 사용한다. 순수 고체나 액체는 반응이 진행되어도 농도가 변하지 않는다. 예로, 닫힌계에서의 탄산칼슘 분해반응을 보자.
계에 열을 가하면 더 많은 CaO와 CO₂가 형성되는데, 계의 부피는 일정하기 때문에 CO₂ 농도(mol/L)는 증가한다. 그러나 고체는 자체 부피를 갖기 때문에, 고체의 농도는 변하지 않으며, 액체도 마찬가지이다. 예로, CaCO₃의 몰수에 대한 CaCO₃의 부피 비는 일정하다. 반응에 참여하는 물질의 상이 두 가지 이상인 불균일평형에서는, 액체나 고체인 반응물이나 생성물은 평형상수식에 표현되지 않는다. 따라서 위 반응의 평형상수식은 다음과 같다.
K = [CO₂]
평형상수의 의미
화학평형을 이해하기 위해 평형상수식을 사용한다. 평형상수는 10-99부터 1099로 광범위하다. 예로, “칼슘은 어떤 음이온과 더 쉽게 결합하는가?”에 답하기 위해 평형상수를 어떻게 이용할 수 있을까?
K = [생성물]/[반응물]
분자에 생성물 농도, 분모에 반응물 농도가 위치한다. K값이 크면, 생성물 농도가 크고 반응물 농도는 작다. 반면, K값이 작으면 반응물 농도가 크고 생성물 농도는 작다.
즉, K값으로 반응의 방형성을 알 수 있다. K값이 크면, 생성물이 만들어지는 방향으로 반응이 진행되며, K값이 작으면(K≪1) 평형상태에서 반응물의 대부분이 반응하지 않고 남아 있다. 만약 K값의 승수가 1이라면, 평형상수식에서 반응물과 생성물 농도는 모두 중요하다.
화학반응식의 역반응
평형상수를 사용할 때, 화학반응식의 방향 즉, 정반응인지 역반응인지를 판단한다. 수산화칼슘의 침전을 예로 들어보자.
Ca2+(aq) + 2OH-(aq) ↔ Ca(OH)2(s) K=1/[Ca2+][OH-]2
Ca(OH)2(s) ↔ Ca2+(aq) + 2OH-(aq) K’=[Ca2+][OH-]2
두 평형상수식은 서로 역수로, 반응물과 생성물이 교차된다.
화학양론의 조절
화학양론계수는 평형상수식에서 지수로 사용되기 때문에, 화학양론의 선택은 중요하다.
2NH3(g) + 2CH4(g) + 3O2(g) ↔ 2HCN(g) + 6H2O(g)
또는 NH3(g) + CH4(g) + 3/2 O2(g) ↔ HCN(g) + 3H2O(g)
두 반응식에 대한 평형상수식은?

K₂는 √K1이다. 평형상수 값을 고려할 때 화학반응식을 주의 깊게 보아야 한다.
연속반응에 대한 평형상수
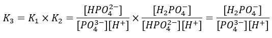
어떤 화학반응의 생성물은 다음 연속반응의 반응물이 될 수도 있다. 두 반응에 대한 각각의 평형상수를 안다면, 총반응에 대한 평형상수를 결정할 수 있다. 인산 이온과 수소 이온의 단계적 반응을 예로 들어보자.

세 번째 식은 처음 두 식을 합한 것으로, K₃는 다음과 같다.

평형상수는 단위가 없는 것이 편하기 때문에, 화학종의 농도를 기준 농도 1M로 나누어 사용한다. 예로, 평형상수의 수산화이온 농도는 [OH-]=[OH-]eq/1M이다.
'환경화학' 카테고리의 다른 글
| 화학평형-산과 염기 (1) | 2024.08.20 |
|---|---|
| 화학평형 2 (0) | 2024.08.19 |
| 화학반응속도론 3 (0) | 2024.08.16 |
| 화학반응속도론 2 – 반감기 (0) | 2024.08.15 |
| 화학반응속도론 (1) | 2024.08.14 |