
원자
원자(atom)는 핵이라 불리는 작고 압축된 중심부를 전자구름이 둘러싸고 있는 형태이다. 핵(nucleus)은 양성자(proton)와 중성자(neutron)로 이루어져 있다. 전자(electron)는 핵에 비해 많은 공간을 차지한다. 원자의 구조는 태양계와 비슷하다. 전자들이 핵을 중심으로 한 궤도(orbit)를 움직인다.
원자를 구성하는 양성자, 중성자, 그리고 전자의 수에 대해 알아보자.양성자는 양의 전하, 전자는 음의 전하이며, 중성자는 중성이다. 원자는 전기적으로 중성인데, 양성자와 전자는 서로의 전하량(electric charge)을 상쇄한다. 원자가 중성이기 위해서는 전자수와 양성자수가 같아야 한다. 중성자는 전하량이 없기 때문에 중성자의 수는 전기중성도에 영향을 미치지 않으며, 원자마다 중성자수가 다르다.
원자 번호와 질량수
원자는 양성자를 원자번호라고 하며, 원소(element)를 식별하는데 쓰인다. 동일한 원소이면서 중성자수가 다른 원자를 “동위원소(isotope)”라 한다. 원자의 화학적 성질은 양성자와 전자에 의해 거의 결정되기 때문에, 동위원소를 화학적으로 분리할 수는 없다.
양성자와 중성자는 질량이 같은데, 전자의 거의 2000배이다. 원자의 질량은 핵에 집중되어 있다. 원자의 질량은 매우 작고 가볍기 때문에, 원자 규모의 단위를 사용한다 – 원자질량단위(amu)
1 amu = 1.6605 × 10-24 g
동위원소
질량분석기를 이용하여 동위원소를 확인할 수 있다. 질량분석기는 미세 입자(원자 또는 분자)의 흐름을 포획하여 질량별로 분류할 수 있는데, 분류된 입자의 수를 정확히 측정한다. 이 데이터를 질량 스펙트럼이라 하는데, 질량별로 검출된 입자의 수를 보여준다. 특정 질량에서 피크가 보이면 분석된 샘플은 특정 질량을 갖은 성분으로 구성되어 있음을 의미한다.
원자기호
원자구조의 정보를 원자기호를 사용한 과학적 표기법으로 나타낼 수 있다.

E는 원소의 원자기호, A는 질량수(양성자수 + 중성자수), Z는 원자번호(=양성자수=전자 수)이다. 원자기호는 원소의 이름에서 파생하는데, 납의 원자기호는 plumbum의 Pb이다. 탄소의 원자기호 C는 carbon에서 파생된 것이다.
원자량
주기율표에는 원자기호와 원자번호, 그리고 원자량이 적혀 있다. 원자량은 특정 원소의 평균원자질량으로 정의된다. 탄소는 두 개의 안정된 동위원소를 가지며 각각의 질량은 12.00000과 13.003355 amu이다. 탄소의 평균질량은 12.5가 아닌 12.011로, 이것은 각 동위원소의 상대적 존재비(탄소-12 98.93%, 탄소-13 1.07%)로 설명이 가능하다.
이온
원자가 전기적으로 중성이기 위해서는 양성자와 전자의 수가 같아야 한다. 만약 양성자수와 전자수가 같지 않으면 알짜 전하(net charge)를 갖는 종이 되는데, 이것을 이온이라 한다. 이 종은 더 이상 원자가 아니며, 거동도 원자와는 다르다.
단일 원자로 된 이온을 일원자 이온(monatomic ion)이라 하며, 전하를 띤 원자 그룹을 다원자 이온(polyatomic ion)이라 한다. 일원자 또는 다원자 이온은 음 또는 양의 전하를 갖는다. 음전하를 띤 이온을 음이온(anion)이라 하는데, 양성자보다 더 많은 수의 전자를 갖는다. 전자보다 양성자수가 많은 이온은 양전하를 띠며 양이온(cation)이라 한다.
다음은 전하(electric charge)의 기본적인 특징이다. 첫째, 반대 전하는 서로 끌어당기나 같은 전하는 서로 밀어낸다. 둘째, 전하량은 보존된다. 이는 화학과정에서 이온의 생성과 관련한 중요한 내용이다. 전하량이 보존되기 때문에, 중성의 원자 또는 분자가 이온으로 바뀌었을 때 반대전하를 가진 입자(전자나 또다른 이온)가 동시에 생성되어야 한다. 이때, 중성의 원자 또는 분자를 정반대의 전하를 갖는 입자 한 쌍으로 전환하는 데는 에너지가 필요하다.
쿨롱의 법칙
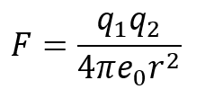
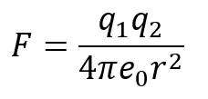
“반대 전하는 서로 끌어당기며, 같은 전하는 서로 밀어낸다”라는 말을 수학식으로 나타낼 수 있다. 쿨롱의 법칙(Coulomb’ raw)은 하전된 입자들의 작용에 관한 것으로, 위의 내용은 단순한 식으로 표현된다.

여기서 q₁과 q₂는 전하, e0는 진공에서의 유전율, r은 전하간 거리이다. F는 두 전하 사이에 작용하는 힘이다. 두 전라의 부호가 같으면 F는 양의 값이며, 반대이면 음의 값이다. F값이 음이면 인력을, 양이면 척력을 뜻한다.
두 이온 사이의 거리, r에 따른 영향을 살펴보자. 양으로 하전된 두 입자가 멀리 떨어져 있다 하자. 분모의 r²이 매우 커지기 때문에 F는 매우 작아진다. 결과적으로 두 입자는 서로에게 영향을 미치지 않게 된다. 같은 전하의 두 입자가 가까이 접근하면 r²은 작아지기 때문에 F는 커진다. 이렇게 되면 F는 커진다.
'환경화학' 카테고리의 다른 글
| 분자, 몰, 화학식 (0) | 2024.07.18 |
|---|---|
| 원자와 분자3 (1) | 2024.07.17 |
| 원자와 분자2 (0) | 2024.07.16 |
| 화학적 단위와 유효숫자 (0) | 2024.07.13 |
| 화학이란 무엇일까? (1) | 2024.07.12 |